Maros

Reliability, availability, maintainability (RAM) analysis: Advanced RAM simulation for the energy sector

Journey continues on Veracity, DNV's trusted digital platform.

Improve and accelerate decision making

Multiple iterations of engineering and CAPEX assessment during the design phase of projects can be challenging. Reliability engineering during the design phase aims to optimize system robustness through mitigation measures such as redundancy or operational flexibilities. This allows system designs based on user requirements and alternatives to be formulated and evaluated in a more holistic approach. Maros RAM analysis software can be applied throughout the whole project asset lifecycle. 

maros software
Beyond traditional reliability analysis, uncover production loss contributors with DNV RAM tools

Effectively utilize your data to improve prediction of events critical to production losses and to forecast system performance

Unlike traditional reliability techniques, where quantifying the impacts of non-normal operating conditions is difficult, Maros incorporates all factors that may contribute to production losses. It identifies assets or events with the highest contribution to performance losses. Understanding these failure modes enables proactive measures to mitigate risks and prevent unplanned downtime.

maros software
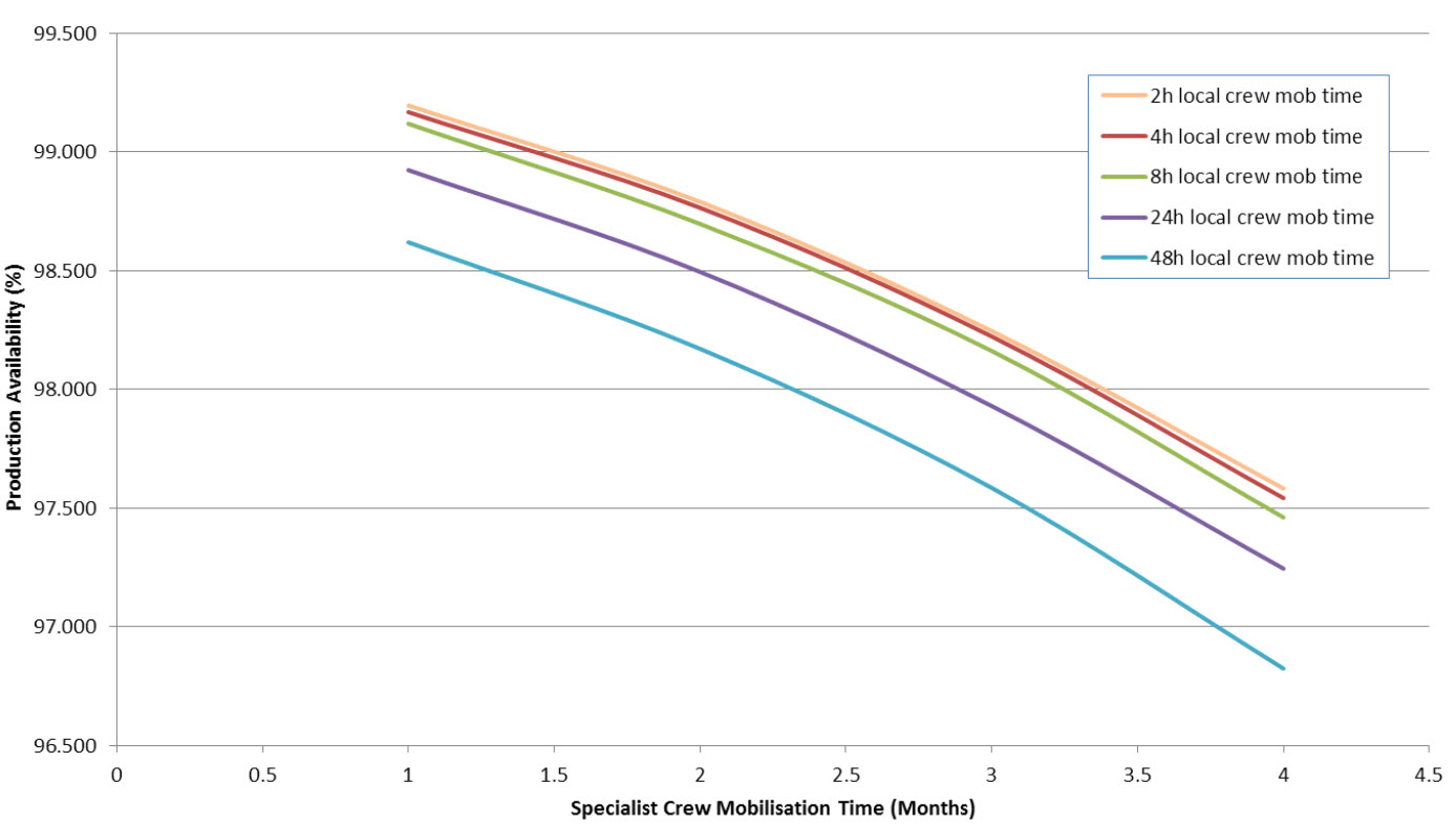
Impact of crew mobilization time

Justify your maintenance costs

Many organizations reduce downtime by overstocking capital spares to avoid long lead times. However, optimizing spare holdings can yield significant cost savings. Instead of adopting a one-size-fits-all maintenance approach, Maros helps users compare alternative spares storage strategies and quantify the values of improvement opportunities, ensuring a more targeted and cost-effective strategy. This ensures that capital is invested wisely and not tied up unnecessarily in excess inventory.

Maros software
Compare and investigate alternative scenarios

Assess different decision alternatives and quantify the benefits derived from improvement opportunities

The simulator is incorporated with a specially designed algorithm to analyse each scenario’s impact on how the system performs. By studying performance results and how they respond to the alteration of specific parameters in the design or logistics, it is possible to optimize the system with respect to given constraints.

More and more, we're using Maros and Taro as strategic operational decision tools. It's a real paradigm shift.

  • Celesta White
  • Shell Projects and Technology
  • Shell Global Solutions

Frequently asked questions

  • The simulation process in Maros can be applied at any stage of the energy or process industry asset lifecycle: from optimizing equipment configuration in the conceptual phase to supporting business plan in the operational phase. It is recommended to start the process early in the project lifecycle, ideally at concept screening/pre-feed, (or FEL 1-2). This model can then be moved into the different stages of the project lifecycle.
  • Maros is a lifecycle performance simulator for both renewable / green (e.g. offshore floating substations, waste-to-energy plants, etc.) and traditional energy industries. Maros employs an event-driven simulation technique using RAM analysis. The simulation predicts the ability of a design to meet a target level of performance, accounting for parameters such as equipment reliability, configuration and capacity, maintenance logistics, energy profile capability, sales agreements, operational logic and more. It can be applied to systems ranging in complexity from a single module to an entire countrywide network.
  • Production compensation mechanisms such as boosting, line packing, storage and third-party substitution can all be part of the simulation process. These enable the modelling of the entire supply chain of gas and LNG to correctly capture operational changes due to planned or unplanned events so that security of supply to customers can be assessed accurately.
  • System safety and reliability are key challenges in achieving operational excellence. Frequent downtime in a processing facility can cause serious problems and may lead to higher maintenance costs. Worse still, it may lead to property damage, increased likelihood of injuries and fatalities and a loss of stakeholder and public trust. The aim should be to minimize the frequency and consequences of events that not only disrupt the smooth flow of operations but also pose significant safety and environmental risks.
  • Maros allows the definition of flaring scenarios that permit limited flaring to take place.

    Flaring operations are typically used to maintain production of the primary product (e.g. oil) if certain equipment fails. Such flaring is generally permitted only on a very limited basis, for example by restricting the total volume of gas that may be flared each time. Multiple environmental and structural limits can be defined using cumulative and/or continuous time-based, volume-based, or production-based constraints.

  • Maros and Taro implement conditional logic to cater for rare and unusual scenarios. This powerful Boolean logic feature enables conditional/single and multi-dependent events to be modelled easily. It enables complex interaction between systems, not directly related to each other, to be captured. This gives the analyst the ability to model almost any event required to represent the plant’s behaviour.

Product information

Product videos

Product videos

Watch our product videos to learn what our software can do for your company.

Training

Training

Find a course that suits your needs.

Discover applications of our software